一巡伝達関数が次のように与えられているフィードバック制御系があります。
$$G(s)H(s) = \frac{K}{j\omega + 1}$$
ただし、K = 2 とします。
(1)ω = 0 から ω→無限大 としたときのナイキスト線図を描いてください。
(2)この系のボード線図において、ゲインが 0dB となる周波数(ゲイン交差周波数)における位相を求めてください。
【ステップバイステップ解説】
(1)ナイキスト線図の描画
ナイキスト線図を描くには、複素数としての「大きさ(絶対値)」と「位相(角度)」の変化を追います。
一巡伝達関数にs=jω を代入し、実部と虚部に分けます。
$$G(j\omega)H(j\omega) = \frac{2}{1 + j\omega} = \frac{2(1 – j\omega)}{1 + \omega^2} = \frac{2}{1 + \omega^2} – j\frac{2\omega}{1 + \omega^2}$$
- ω=0 のとき:実部 =2、虚部 =0。つまり点 (2,j0) からスタートします。
- ω=1 のとき:実部 =1、虚部 =-1。位相は-45deg です。
- ω→無限大 のとき:実部 →0、虚部 →0。つまり原点(0,j0) に収束します。このとき、分母にjωが1つあるので、-90degの方向から原点に近づきます。
この軌跡は、点 (1, j0) を中心とする半径 1 の半円(第4象限)を描きます。点 (-1, j0) を包み込まないため、このシステムは安定であると判定できます。
(2)ボード線図とゲイン交差周波数
ボード線図の計算では、ゲイン特性 $$|G(j\omega)H(j\omega)|$$ をデシベル $$[dB]$$ で考えます。
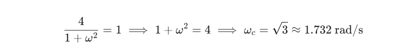
1. ゲイン交差周波数 $\omega_c$ の算出
ゲインが 0 dB(すなわち倍率が 1)となる周波数を求めます。
$$|G(j\omega)H(j\omega)| = \frac{2}{\sqrt{1 + \omega^2}} = 1$$
両辺を2乗して整理します。

2. そのときの位相 φ の算出
伝達関数の位相角の式は $$\phi = -\arctan(\omega)$$
です。よって
$$\phi = -\arctan(\sqrt{3}) = -60 \text{ deg}$$
このシステムの位相余裕(PM)は、-180 deg に対してどれだけ余裕があるかを見ます。
$$PM = 180 + (-60) = 120 \text{ deg}$$
となり、非常に安定したシステムであることがわかります。
まとめ:周波数応答攻略のコツ
- ナイキスト線図:始点(ω=0)と終点(ω→無限大)をまずプロットし、途中の代表的な点(ω=1/T など)を通るように滑らかに結ぶ。
- ボード線図:ゲインが 1 になる地点を探し、その時の位相が -180 deg よりどれだけ「上」にあるかを確認する。
この計算プロセスに慣れておけば、図示問題や安定余裕の計算で確実に得点できるようになります。

コメント